If you like TikZ and need some 'inspiration' for your Artificial Neural Network related graphics, then this could be what you are looking for.
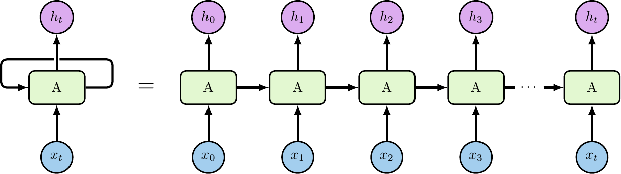
I initially wanted editable versions of the images I found on olah's blog that I could use later for my master's thesis, so I started playing around with TikZ. The results are now contained in this repository.
mvoelk/nn_graphics
Folders and files
| Name | Name | Last commit date | ||
|---|---|---|---|---|







