Datawaza streamlines common Data Science tasks. It's a collection of tools for data exploration, visualization, data cleaning, pipeline creation, hyper-parameter searching, model iteration, and evaluation. It builds upon core libraries like Pandas, Matplotlib, Seaborn, and Scikit-Learn.
The latest release can be found on PyPI. Install Datawaza with pip:
pip install datawaza
See the Change Log for a history of changes.
Datawaza supports Python 3.9 - 3.12. Because Cartopy does not support Python 3.8, and that's a dependency for plot_map_ca, 3.8 is not supported.
Installation requires NumPy, Pandas, Matplotlib, Seaborn, Plotly, Scikit-Learn, SciPy, Cartopy, GeoPandas, StatsModels, TensorFlow, Keras, SciKeras (if utilizing KerasClassifier as a model), PyTorch, and a few other supporting packages. See the Requirements.txt.
Online documentation is available at Datawaza.com.
The User Guide is a Jupyter notebook that walks through how to use the Datawaza functions. It's probably the best place to start. There is also an API reference for the major modules: Clean, Explore, Model, and Tools.
The Datawaza repo is on GitHub.
Please submit bugs that you encounter to the Issue Tracker. Contributions and ideas for enhancements are welcome!
Waza (技) means "technique" in Japanese. In martial arts like Aikido, it is paired with words like "suwari-waza" (sitting techniques) or "kaeshi-waza" (reversal techniques). So we've paired it with "data" to represent Data Science techniques: データ技 "data-waza".
Most of these functions were created while I was pursuing a Professional Certificate in Machine Learning & Artificial Intelligence from U.C. Berkeley. With each assignment, I tried to simplify repetitive tasks and streamline my workflow. They served me well at the time, so perhaps they will be of value to others.
The User Guide will show you how to use Datawaza's functions in depth. Assuming you already have data loaded, here are some examples of what it can do:
>>> import datawaza as dw
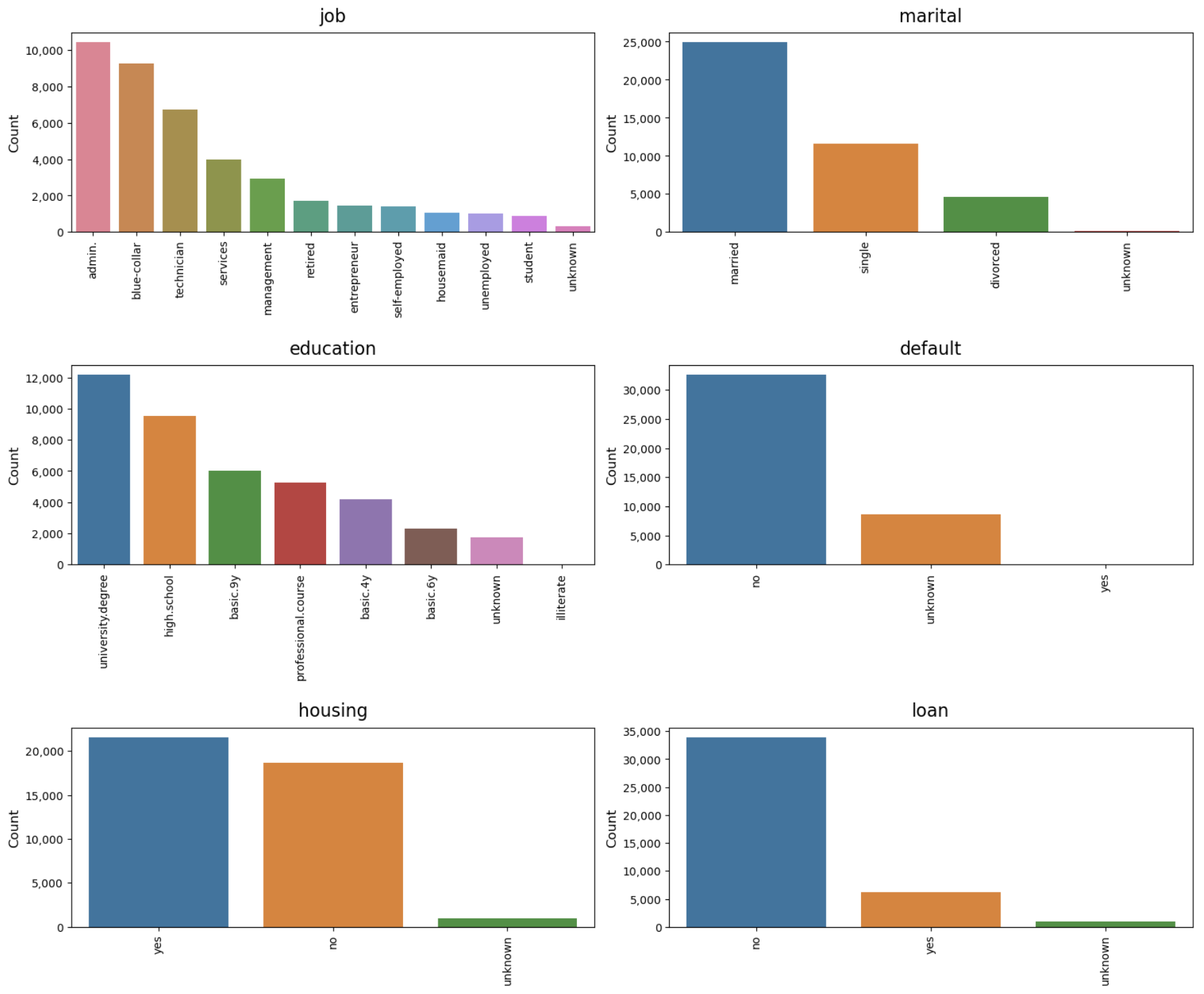
Show the unique values of each variable below the threshold of n = 12:
>>> dw.get_unique(df, 12, count=True, percent=True)
CATEGORICAL: Variables with unique values equal to or below: 12
job has 12 unique values:
admin. 10422 25.3%
blue-collar 9254 22.47%
technician 6743 16.37%
services 3969 9.64%
management 2924 7.1%
retired 1720 4.18%
entrepreneur 1456 3.54%
self-employed 1421 3.45%
housemaid 1060 2.57%
unemployed 1014 2.46%
student 875 2.12%
unknown 330 0.8%
marital has 4 unique values:
married 24928 60.52%
single 11568 28.09%
divorced 4612 11.2%
unknown 80 0.19%
Plot bar charts of categorical variables:
>>> dw.plot_charts(df, plot_type='cat', cat_cols=cat_columns, rotation=90)
Get the top positive and negative correlations with the target variable, and save to lists:
>>> pos_features, neg_features = dw.get_corr(df_enc, n=10, var='subscribed_enc', return_arrays=True)
Top 10 positive correlations:
Variable 1 Variable 2 Correlation
0 duration subscribed_enc 0.41
1 poutcome_success subscribed_enc 0.32
2 previously_contacted subscribed_enc 0.32
3 pdays subscribed_enc 0.27
4 previous subscribed_enc 0.23
5 month_mar subscribed_enc 0.14
6 month_oct subscribed_enc 0.14
7 month_sep subscribed_enc 0.12
8 no_default_1 subscribed_enc 0.10
9 job_student subscribed_enc 0.09
Top 10 negative correlations:
Variable 1 Variable 2 Correlation
0 nr.employed subscribed_enc -0.35
1 euribor3m subscribed_enc -0.31
2 emp.var.rate subscribed_enc -0.30
3 poutcome_nonexistent subscribed_enc -0.19
4 contact_telephone subscribed_enc -0.14
5 cons.price.idx subscribed_enc -0.14
6 month_may subscribed_enc -0.11
7 campaign subscribed_enc -0.07
8 job_blue-collar subscribed_enc -0.07
9 education_basic.9y subscribed_enc -0.05
Plot a chart showing the top correlations with the target variable:
>>> dw.plot_corr(df_enc, 'subscribed_enc', n=16, size=(12,6), rotation=90)
Run a regression model iteration, which dynamically assembles a pipeline and evaluates the model, including charts of residuals, predicted vs. actual, and coefficients:
>>> results_df, iteration_6 = dw.iterate_model(X2_train, X2_test, y2_train, y2_test,
... transformers=['ohe', 'log', 'poly3'], model='linreg',
... iteration='6', note='X2. Test size: 0.25, Pipeline: OHE > Log > Poly3 > LinReg',
... plot=True, lowess=True, coef=True, perm=True, vif=True, decimal=2,
... save=True, save_df=results_df, config=my_config)
Compare train/test scores across model iterations, and select the best result:
>>> dw.plot_results(results_df, metrics=['Train MAE', 'Test MAE'], y_label='Mean Absolute Error',
... select_metric='Test MAE', select_criteria='min', decimal=0)
Define a configuration file to compare multiple binary classification models:
>>> # Set some variables referenced in the config
>>> random_state = 42
>>> class_weight = None
>>> max_iter = 10000
>>>
>>> # Set column lists referenced in the config
>>> num_columns = list(X.columns)
>>> cat_columns = []
>>>
>>> # Create a custom configuration file with 3 models and grid search params
>>> my_config = {
... 'models' : {
... 'logreg': LogisticRegression(max_iter=max_iter,
... random_state=random_state, class_weight=class_weight),
... 'knn_class': KNeighborsClassifier(),
... 'tree_class': DecisionTreeClassifier(random_state=random_state,
... class_weight=class_weight)
... },
... 'imputers': {
... 'simple_imputer': SimpleImputer()
... },
... 'transformers': {
... 'ohe': (OneHotEncoder(drop='if_binary', handle_unknown='ignore'),
... cat_columns)
... },
... 'scalers': {
... 'stand': StandardScaler()
... },
... 'selectors': {
... 'sfs_logreg': SequentialFeatureSelector(LogisticRegression(
... max_iter=max_iter, random_state=random_state,
... class_weight=class_weight))
... },
... 'params' : {
... 'logreg': {
... 'logreg__C': [0.0001, 0.001, 0.01, 0.1, 1, 10, 100],
... 'logreg__solver': ['newton-cg', 'lbfgs', 'saga']
... },
... 'knn_class': {
... 'knn_class__n_neighbors': [3, 5, 10, 15, 20, 25],
... 'knn_class__weights': ['uniform', 'distance'],
... 'knn_class__metric': ['euclidean', 'manhattan']
... },
... 'tree_class': {
... 'tree_class__max_depth': [3, 5, 7],
... 'tree_class__min_samples_split': [5, 10, 15],
... 'tree_class__criterion': ['gini', 'entropy'],
... 'tree_class__min_samples_leaf': [2, 4, 6]
... },
... },
... 'cv': {
... 'kfold_5': KFold(n_splits=5, shuffle=True, random_state=42)
... },
... 'no_scale': ['tree_class'],
... 'no_poly': ['knn_class', 'tree_class']
... }
Run a binary classification on 7 models, dynamically assembling the pipeline and performing a grid search of the hyper-parameters, all based on the configuration file defined above:
>>> results_df = compare_models(
...
... # Data split and sampling
... x=X, y=y, test_size=0.25, stratify=None, under_sample=None,
... over_sample=None, svm_knn_resample=None,
...
... # Models and pipeline steps
... imputer=None, transformers=None, scaler='stand', selector=None,
... models=['logreg', 'knn_class', 'svm_proba', 'tree_class',
... 'forest_class', 'xgb_class', 'keras_class'], svm_proba=True,
...
... # Grid search
... search_type='random', scorer='accuracy', grid_cv='kfold_5', verbose=1,
...
... # Model evaluation and charts
... model_eval=True, plot_perf=True, plot_curve=True, fig_size=(12,6),
... legend_loc='lower left', rotation=45, threshold=0.5,
... class_map=class_map, pos_label=1, title='Breast Cancer',
...
... # Config, preferences and notes
... config=my_config, class_weight=None, random_state=42, decimal=4,
... n_jobs=None, notes='Test Size=0.25, Threshold=0.50'
... ) #doctest: +NORMALIZE_WHITESPACE
This was just a sample of some Datawaza tools. Download userguide.ipynb and explore the full breadth of the library in your Jupyter environment.



















