-
Notifications
You must be signed in to change notification settings - Fork 1
6. Datascript protocol overview
All protocol based on network bitcoin types, like var_int, var_str and other. You can find this types and parser/builder for that in my another package: bitPony Datascript is constructed from four levels.
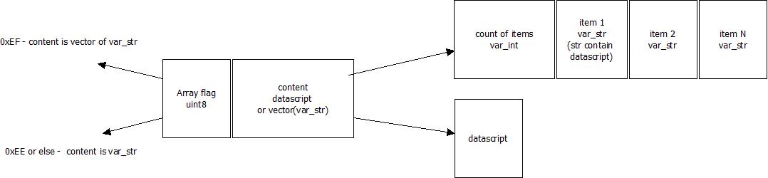
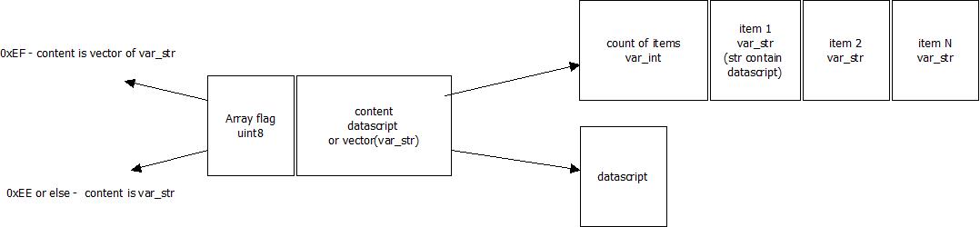
first byte of transport level - its flag. If flag equal - 0xef - its vector of datascript (vector - var_int(count) + datascript[]), else if flag equal 0xee or something else byte - its just one datascript item.
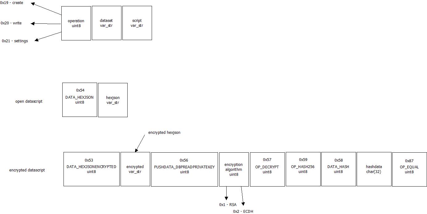
first byte of datascript level its op_flag, that contain type of datascript. In version 0.0.1 supported operation is create (0x19), settings (0x21), write (0x20). After first byte - var_str dataset name, and after that - var_str datascript.
Datascript can be encrypted and open. Datascript its a script system, stack-based and processed from left to right. It is purposefully not Turing-complete, with no loops. Look like bitcoin script and support some operations from bitcoin. Full list of operators:
DATA_ENCRYPTIONALGORITHM = 0x52,
DATA_HEXJSONENCRYPTED = 0x53,
DATA_HEXJSON = 0x54,
DATA_HASH = 0x58,
PUSHDATA_DBWRITEPUBLICKEY = 0x55,
PUSHDATA_DBREADPRIVATEKEY = 0x56,
OP_DECRYPT = 0x57,
OP_EQUAL = 0x87,
OP_HASH256 = 0x59,
OP_CHECKDBPRIVILEGES = 0x60,
DATA_* operators mean that next bytes after this operator is var_str with special data.
PUSHDATA_* operators mean that need put you special data into stack
OP_* its operators
So, datascript look like:
- open:
0x54 + jsonhex_bytes - encrypted
0x53 + var_str + 0x56 + (0x1 or 0x2) + 0x57 + 0x59 + 0x58 + char[32] + 0x87

