forked from shunliz/Machine-Learning
-
Notifications
You must be signed in to change notification settings - Fork 0
Expand file tree
/
Copy pathinfogan.md
More file actions
159 lines (74 loc) · 13.4 KB
/
infogan.md
File metadata and controls
159 lines (74 loc) · 13.4 KB
1
2
3
4
5
6
7
8
9
10
11
12
13
14
15
16
17
18
19
20
21
22
23
24
25
26
27
28
29
30
31
32
33
34
35
36
37
38
39
40
41
42
43
44
45
46
47
48
49
50
51
52
53
54
55
56
57
58
59
60
61
62
63
64
65
66
67
68
69
70
71
72
73
74
75
76
77
78
79
80
81
82
83
84
85
86
87
88
89
90
91
92
93
94
95
96
97
98
99
100
101
102
103
104
105
106
107
108
109
110
111
112
113
114
115
116
117
118
119
120
121
122
123
124
125
126
127
128
129
130
131
132
133
134
135
136
137
138
139
140
141
142
143
144
145
146
147
148
149
150
151
152
153
154
155
156
157
158
159
我们先来聊聊GANs有哪些可研究的方向。下面说说我的看法。我把研究的方向分为三大块:theory、optimization、application。在theory上的研究可以分为博弈论视角和非博弈论视角。收敛性是theory的一个很重要的研究方向。然而,理论研究非常难,一方面GANs一般是基于deep learning的,而deep learning的理论根基尚且未知;另一方面,有理论收敛性保证的零和博弈GANs在实际应用中训练效果并不好,实际应用的启发式GANs并非零和博弈,很难从理论上做分析。
至于optimization,我们知道GANs很难训练,容易发生模式坍塌(mode collapse),从这点上可以找到两个研究课题:如何找到合适的优化方法以稳定训练过程、发生模式坍塌的原因何在。正如Ian Goodfellow所言,寻找纳什均衡比优化loss function要难得多。经验上或者理论上找到一类相对容易寻找纳什均衡的GANs,也是一个不错的研究方向,DCGAN做的正是这方面的工作。对GANs提出合适的优化方法目前还没看到相关工作,多数optimization的文章还是在研究训练GANs的一些tricks,如DCGAN、improved GAN。总的来说,optimization上的研究,可以从loss function、training procedure、flamework上入手。
还有一类是研究GAN的application,这也是一个相对容易一些的研究方向。关于GAN的应用,在推出GANs系列的第一期我们就提到过,如根据描述生成图像、卫星图像与地图的转换、草图生成真实图像等。后续也会解读这方面的文章。
我尝试在这上面做些研究,一开始有一堆想法,然后一个个地思考、否定、心寒。看懂别人的工作似乎不难,但是自己研究还是很难的。But不要气馁,一切才刚刚开始。GANs的研究也才2年。
好了,进入正题。今天要介绍的两篇论文都来自于OpenAI,第一篇介绍了一种新的GAN,叫InfoGAN,它对generator和generator的loss做了一些修改,并取得了很好的效果。第二篇对GAN提出了一些改进,并将GANs应用到半监督学习中。
**InfoGAN**
**
**
一般的GAN的generator输入是“噪声”(noise,也称为latent code,姑且称为“图编码”),输出是根据“图编码”产生的图像【PS:我觉得这种做法有问题,但是想不到改进的方法】。我们完全不知道generator会怎样利用“图编码”,“图编码”可能完全交织在一起,很难确定“图编码”每个维度的具体语义,或者说,不知道“图编码”的每个维度分别控制着图像的哪些特征。一般的GANs求解的是以下的minmax博弈:

作者认为这种generator的输入是unstructuredlatent code,并不能很好地解释图像产生的参数,应该将generator的输入分为两部分,一部分还是noise,不可压缩的噪声向量,记为z;另一部分是structured latent code,控制数据分布的语义特征,如视角、光照等,记为c。简而言之,noise负责控制生成图像的内容,structure latent code负责控制图像的一些属性特征。
一般来说,一张图像具有很多属性特征,设有L个属性,记为

不妨假设它们是相互独立的,即

控制图像属性的structure latent code应该是与图像内容无关的变量,也就是说,p\(c\|x\)的熵应该尽可能地小,也就是说,c与G\(z,c\)的互信息I\(c, G\(z,c\)\)应该尽可能地大。换句话说,当c给定以后,图像x的不确定性减少量应该尽可能地大。
为了实现最大化互信息,以使structured latentcode能够控制图像的属性,作者在loss function中引入互信息正则化项,因此,InfoGAN是如下的minmax博弈:
从上式可以看出,互信息正则项只对generator起作用。
然而,通过上式我们并不能启动训练,因为它实际上需要知道后验概率p\(c\|x\),而这是我们无法得知的。没办法得到后验概率,那我们就让模型自己学后验概率...
作者从理论上推导了,如果用Q\(c\|x\)来逼近后验概率P\(c\|x\),那么互信息I\(c, G\(z,c\)\)具有如下的下界:
更详细的讨论可以参看原文\[1\]。
实际操作中,Q\(c\|x\)的计算与Discriminator共享网络,除了最后一层全连接层不同,不妨称为Q网络。这样做可以减少计算代价。如果structured latent code是categorical变量,采用softmax的概率输出作为Q\(c\_i\|x\)即可;如果是连续变量,一般采用Q网络输出构造一个高斯分布。
**InfoGAN实验**
**
**
InfoGAN采用DCGAN提出的限制设计generator和discriminator网络。每个实验具体的网络架构、实验参数可以在文献\[1\]的Appendix中找到。Generator的学习率设置为0.001,discriminator的学习率设为0.0002,正则化项参数\lambda设置为1(face dataset上除外)。
实验发现,互信息很快就达到了最大,表明文中给出的最大化互信息方法是有效的。
MNIST数据集上,InfoGAN学到的3个structuredlatent code具有明确的含义:其中c\_1表示数字类型;c\_2表示旋转角度;c\_3表示笔画宽度。如下图所示:
此外,在生成人脸和桌椅上也有类似效果:
**Improved-GAN**
Improved GAN实际上是提出了几个使得GANs更稳定的技术,包括:feature matching、minibatch discrimination、historicalaveraging、one-sided label smoothing、virtual batch normalization。下面我们一一介绍:
**Feature matching**
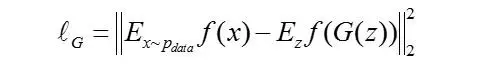
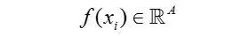
GANs的loss是建立在discriminator的输出上的,即discriminator输出的交叉熵,这可能导致GANs训练不稳定,毕竟给予generator的信息太少了,而图像空间又太大了。为了让训练更稳定,作者提出了featurematching的方法。所谓的feature matching,即是要求generator产生的图像在经过discriminator时,提取的特征尽可能地接近(匹配)自然图像经过discriminator时提取的特征。设discriminator的某个中间层对于输入x的输出为f\(x\),作者提出的featurematching,实际上是用下面的loss function替换以前的交叉熵loss:

这个loss比交叉熵loss更加直接,对generator的指导作用更大一些。
**Minibatch discrimination**
作者提出, generator的输出并没有相互作用,发生模式坍塌(mode collapse)时,没有任何信息能够引导它走出模式坍塌。为了防止这个情况发生,作者提出了generator的每个minibatch输出都应该具有足够的分辩能力,也就是说,每个minibatch不应该太相似,惩罚minibatch的相似性,能够在模式坍塌发生时,产生足够的梯度信息,引导它走出模式坍塌。设discriminator的某个中间层对于输入x的输出为f\(x\),对于generator产生的图像x\_i,它的特征是

设generator的一个minibatch输出为x\_1, x\_2, ..., x\_n。Minibatch discrimination(可以看成是一个layer,称为minibatch layer)具体计算如下:
* 对每个f\(x\_i\),右乘以下张量

得到矩阵

* 计算cross-sample distance
* 计算minibatch layer的输出:
需要指出的是,作者提出的minibatch discrimination是在discriminator原来的网络的某个中间层后面插入minibatch layer,minibatch layer的输出作为原来discriminator下一层的输入。示例图解如下:

**Historical averaging**
受到虚拟博弈算法(fictitious play algorithm, GeorgeW Brown, 1951)\[3\]的启发,作者提出,对博弈双方的loss function均加入历史信息项,即

其中,θ\[i\]表示历史时刻i的参数值,t为已经进行过的博弈轮数(迭代次数)。
实验发现,这种historical averaging的方法能够求解低维、连续非凸博弈的均衡点。
**One-sided label smoothing**
标签平滑处理(label smoothing)将分类器的两类输出0,1替换为平滑后的结果a,b(其中:0<a<b<1)。它能够降低神经网络对于对抗样本的脆弱性。然而,标签平滑处理也存在问题,由于训练集是有限的,在p\_data接近0,p\_model很大的地方,p\_model主导了discriminator,这将导致没有足够的梯度引导p\_model向p\_data收敛。因此,作者提出one-sided label smoothing,将正类标签平滑处理为\alpha,对负类标签不做处理,仍置为0。
**Virtual batch normalization**
DCGANs将batch normalization引入到GANs中,并取得了巨大成功。但这种batch normalization也存在问题,每个样本对应的网络输出都高度依赖于同个batch的其他样本,为了避免这种依赖性,作者提出了virtual batch normalization,即每次做batch normalization时,用到的统计信息\mu, \sigma并不是当前batch的统计信息,而采用一批固定样本的统计信息。即,每次迭代需要计算两个batch,一个是训练集的输入batch,另一个是固定的batch(与迭代次数无关,每次均采用该batch),在需要batch normalization时,用固定batch的统计信息\mu,\sigma对训练集输入batch和固定的batch分别进行normalization。需要注意的是,VBN使得每次迭代的前向计算部分计算量是以前的两倍。实际操作时,一般只对generator使用VBN,以降低计算的代价。
**Semi-supervised GANs**
GANs属于非监督学习,improved-GAN的作者还提出了半监督版本的GANs。假设我们需要对图像进行分类,分为K类,半监督的GANs将generator产生的图像作为第K+1类:fake image。一般来说,我们将discriminator设计为半监督学习的分类器,将样本分为K+1类。GANs在训练时只考虑fake images和real images两类,fake images为第K+1类,discriminator输出的第K+1类的概率即为图像属于fake image的概率,real images为前K类,discriminator输出的前K类的概率之和即为图像属于real image的概率。
作者发现,前面提到的minibatch discrimination对于这种半监督的GANs训练并没有效果,而feature matching则对半监督GANs的提升效果非常明显!
**Improved-GAN实验**
作者设计的GANs也是基于DCGAN的。在MNIST数据集上做半监督GANs训练,用上feature matching或者minibatch discrimination,发现用feature matching的半监督GANs效果更好,在MNIST的分类上达到了半监督方法的state-of-the-art。

如果考虑产生的图像质量,半监督GANs产生的图像质量并不是很高,容易区分,如果非监督GANs采用minibatch discrimination,产生的图像质量非常高,人眼很难判断是图像是否是generator产生的。图像质量实验结果参见下图:

此外,作者还在CIFAR-10、SVHN等数据集上做了半监督GANs分类,同样达到了非监督分类上state-of-the-art的效果。
**代码**
InfoGAN代码:[https://github.com/openai/InfoGAN](https://github.com/openai/InfoGAN)
Improved GAN代码:[https://github.com/openai/improved-gan](https://github.com/openai/improved-gan)
**参考文献**
**
**
1. Chen, X., Duan, Y., Houthooft,R., Schulman, J., Sutskever, I., & Abbeel, P. \(2016\). InfoGAN:Interpretable Representation Learning by Information Maximizing GenerativeAdversarial Nets. arXiv:1606.03657\[cs.LG\], 1–14.
2. Salimans, T., Goodfellow, I.,Zaremba, W., Cheung, V., Radford, A., & Chen, X. \(2016\). ImprovedTechniques for Training GANs. Nips,1–10.
3. George W Brown. Iterativesolution of games by fictitious play. Activityanalysis of production and allocation, 13\(1\):374-376, 1951.